AccessLange: General Ophthalmology / Printed from AccessLange (accesslange.accessmedicine.com).
 
Copyright ©2002-2003 The McGraw-Hill Companies. All rights reserved.
 

Page 1 of 4 NEXT Printable VersionPrint this Page
Print this Chapter ( K)
 
Chapter 18: Genetic Aspects of Ocular Disorders
Authors: Paul Riordan-Eva, Taylor Asbury

Genetic Aspects of Ocular Disorders


Genetic influences are being described in an increasing number of diseases, and a primary causative role for genetic defects is being more clearly defined in many instances. Thus, it becomes increasingly important to understand the principles of genetic transmission. Much of the background work in clinical genetics has been done in ophthalmology. The eye seems to be unusually prone to genetically determined disease, and an accurate diagnosis of ocular disease can usually be arrived at on the basis of careful clinical examination.

Clinicians can estimate the risk of occurrence of many genetically determined diseases (usually the rare but severe ones), but the familial incidence of many other diseases also known to be genetically determined still cannot be accurately predicted.

Mechanisms of Inheritance

An individual's genetic identity (genotype) is carried in the deoxyribonucleic acid (DNA) found in the cell nucleus and mitochondria. The DNA in the nucleus of the normal human somatic cell is organized into 23 pairs of chromosomes. Twenty-two of these pairs are somewhat similar (homologous) and are therefore termed autosomal. The twenty-third pair is composed of the sex chromosomes (X and Y). In the female, this pair is homologous (XX), whereas in the male it is heterologous (XY). A number of agents (quinacrine mustard, trypsin, Giemsa's stain) produce morphologic banding of human chromosomes that permits their identification and classification into a number of groups. Mitochondrial DNA is a double-stranded circular molecule of which each mitochondrion has several copies.

The genotype is composed of many small functional units termed genes, which are situated at specific sites (loci) along the length of the DNA. Genes are thus also arranged in pairs. The alternate forms of a gene at a locus controlling a particular characteristic are known as alleles. There are commonly two alternate forms, but there may be more. When the alleles at a particular locus are the same, the individual is said to be homozygous, and when they are different, heterozygous.

Genes exert their effects by controlling the production of proteins within the cell. Complementary copies of the DNA constituting specific genes are formed with ribonucleic acid (RNA), and these are used to direct protein synthesis. The mechanisms regulating gene expression are complex.

DNA recombinant technology using isolated human DNA fragments inserted into bacterial cells has led to the identification of the DNA sequences and protein products of specific genes. Linkage studies and DNA probes have identified the position of specific gene loci and carriers for certain mutant genes.

The gametes (spermatozoon and ovum) are produced by a special type of cell division called reduction-division meiosis, in which the 23 pairs of chromosomes dissociate, each daughter cell receiving one chromosome of each pair. One of each pair passes into each daughter cell as a random occurrence. Exchange of chromosomal material (translocation) between the members of each pair also occurs. At fertilization, each chromosome of the spermatozoon joins its corresponding chromosome of the ovum to produce a cell with 46 chromosomes of unique genetic constitution. Mitochondrial DNA is derived entirely from the ovum. All cell divisions after fertilization (mitosis) involve duplication and separation of all the chromosomes to produce cells with the constant number of 46 chromosomes and identical genetic constitution.

The expression of the genotype in physical characteristics is known as the phenotype. The inheritance of certain characteristics of the human phenotype, such as eye color, can be explained on the basis of interaction between the two alleles at a single chromosomal locus. Each allele determines the development of one form of the particular characteristic. In the homozygous individual, this form is correspondingly expressed. In the heterozygous individual, one allele is said to be dominant because it determines the phenotype, while the other is recessive (not expressed). This is the basis of mendelian inheritance, from which are derived many of the terms used to describe patterns of inheritance. The inheritance of many phenotypic characteristics, however, cannot easily be classified in this way. This has led to modifications of the original mendelian concepts, including variable expression and variable penetration of genes. Recent improvements in the understanding of gene regulation and expression, as well as recognition of the role of environmental factors, have demonstrated why this model breaks down. Nevertheless, the framework of mendelian inheritance is still of immense value in clinical genetics as a means of describing modes of inheritance and estimating the risk of transmission of certain genetically determined abnormalities. The major alternative patterns of inheritance are those due to chromosomal abnormalities, maternal inheritance due to defects of mitochondrial DNA, and those described as multifactorial, involving multiple genes or major environmental influences.

MENDELIAN INHERITANCE

Mendelian inheritance can be divided into three main patterns: autosomal dominant, autosomal recessive, and X-linked recessive.

Autosomal Dominant Inheritance

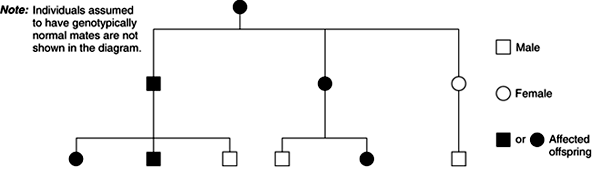
An abnormal dominant gene produces its specific abnormality even though its paired gene (allele) is normal. Males and females are affected alike and-being heterozygous-have a theoretic 50% chance of passing along the affected gene (and therefore the abnormality) to each of their offspring even when mated to genotypically normal individuals (Figure 18-1).


Figure 18-1

Figure 18-1: Figure 18-1. Autosomal dominant inheritance.

Given a particular group of pedigrees, autosomal dominant inheritance is established if the following conditions are met: (1) Males and females are equally affected. (2) Direct transmission has occurred over two or more generations. (3) About 50% of individuals in the pedigrees are affected.

Quite a large number of uncommon but serious diseases with ocular manifestations are transmitted in this way: forms of juvenile glaucoma, Marfan's syndrome, congenital stationary night blindness (Figure 18-2), osteogenesis imperfecta, neurofibromatosis 1 and 2, Lindau-Von Hippel disease, and tuberous sclerosis. The process of natural selection tends to keep most of these serious diseases at a low incidence since many of these persons do not or cannot reproduce. By contrast, autosomal dominant optic atrophy, now known to have a genetic locus on chromosome 3, is in general a less serious disorder affecting many large families.


Figure 18-2

Figure 18-2: Figure 18-2. Pedigree of congenital stationary night blindness (abnormal dominant gene).

Dominant disease may be more or less severe from generation to generation depending upon its expression; a disease with "variable expression" is one that can occur in a mild or severe form. An example is neurofibromatosis 1, in which genotypically affected individuals may have merely café au lait spots or may have many serious manifestations. One cannot predict if or when the disease will be more serious (with central nervous system tumors or optic nerve gliomas) in a succeeding generation. In other autosomal dominant conditions, severity of expression increases with each successive generation. This phenomenon, known as anticipation, has been demonstrated in a number of neurologic conditions, such as Huntington's disease, to be due to increasing numbers of mutated copies of the same triplet of base pairs, from which DNA is made. Severity of expression may also depend upon whether the mutation is inherited from the father or the mother. If the genetic pattern is present but there is no evidence of the disease, one says that its penetrance is reduced. It may be quite difficult to differentiate dominant inheritance with reduced penetrance from recessive inheritance (see below).

In certain diseases such as hemoglobin S disease, there is a clearly defined intermediate phenotype that corresponds to the heterozygous individual. This is known as codominant inheritance.

Autosomal Recessive Inheritance

Abnormal recessive genes must lie in pairs (duplex state) to produce manifest abnormality. Thus, each parent must contribute one recessive abnormal gene. Each parent is clinically unaffected (genotypically affected but phenotypically normal), since a normal dominant gene makes the abnormal gene recessive (Figure 18-3).


Figure 18-3

Figure 18-3: Figure 18-3. Autosomal recessive inheritance. Mating of two carriers.

It is difficult to establish that a given disease results from autosomal recessive inheritance. Some of the criteria used to establish recessive inheritance are the following:

  1. Occurrence of the same disease in collateral branches of the family.

  2. History of consanguinity. The higher the rate of consanguinity in the pedigrees of a given disease, the more likely the disease is to be recessive. Consanguinity creates greater opportunities for the genes to lie in the duplex state, inasmuch as an individual with two related parents can receive the same affected gene from each, a common ancestor having originally passed on the affected gene.

  3. The occurrence of the disease in about 25% of siblings. This only holds for groups of pedigrees. There is a 25% chance that the two abnormal genes will be passed on to one individual. There is a 50% chance that a normal gene will modify the affected gene. In this case, the individual is a carrier of the disease (just like the parents) but is not affected with the disease (ie, genotypically affected but phenotypically normal). In the remaining 25% of siblings, two normal genes lie together and the abnormal gene is completely lost (ie, the individual is genotypically normal). Although a number of pedigrees are required to definitely establish recessive inheritance, even a single pedigree is suggestive if more than one sibling is similarly affected without an antecedent history.

Many disease processes have been definitely established as resulting from autosomal recessive inheritance, and many others are suspected of having such a genetic background. Included among the definite cases are Laurence-Moon-Biedl syndrome and inborn errors of metabolism such as oculocutaneous albinism (Figure 18-4), galactokinase deficiency, and Tay-Sachs disease.


Figure 18-4

Figure 18-4: Figure 18-4. Pedigree of oculocutaneous albinism (autosomal recessive gene). In this case a man married successively two sisters, his first cousins.

X-Linked (Sex-Linked) Recessive Inheritance

Many of the genes of the X chromosome are unopposed by a gene of the Y chromosome. Abnormalities of these genes cause disease in the male, whereas in the female an abnormal recessive gene of the sex chromosome is masked by its normal allele. Therefore, nearly all of the X-linked diseases are manifested in males, whereas the disease is passed through the female. A male and his maternal grandfather are affected, and the intervening female is the carrier.

The criteria for X-linked inheritance are (1) that only males are affected, (2) that the disease is transmitted through carrier females to half of the sons, and (3) that there is no father-to-son transmission.

Among the important eye diseases with an X-linked genetic pattern are color blindness (Figure 18-5), ocular albinism, and one type of retinitis pigmentosa.


Figure 18-5

Figure 18-5: Figure 18-5. Pedigree of red-green color blindness (X-linked recessive inheritance).

Females have a mosaic of somatic cells consisting of cell groups with one X chromosome functioning and cell groups with the other X chromosome functioning (Lyon hypothesis). When the female is a carrier of an X-linked disease, this mosaicism is occasionally detectable. Such is the case in female carriers of ocular albinism, in whom groups of pigmented and albino retinal pigment epithelial cells are visible ophthalmoscopically.

MATERNAL INHERITANCE

Maternal inheritance, in which a condition is inherited only from the mother, does not obey the accepted rules of any form of mendelian inheritance. It has particular relevance to ophthalmology because its existence was recognized through the study of inheritance patterns in Leber's hereditary optic neuropathy, which causes severe bilateral optic neuropathy in young adults. The explanation for maternal inheritance is a defect in mitochondrial DNA, which is derived entirely from the individual's mother.

Maternal inheritance should produce a genetic abnormality that is transmitted only through the female line and then potentially to all offspring, that is never found in the offspring of an affected male, and that is detectable in every generation, with males and females being equally affected.

In almost all families affected by Leber's hereditary optic neuropathy, a mitochondrial DNA point mutation involving a gene responsible for the production of a protein involved in oxidative phosphorylation can be identified. The most frequent mutation, known as the Wallace mutation, is at base pair 11778 (see Chapter 14). The inheritance pattern of Leber's hereditary optic neuropathy does not in fact fulfill all the features outlined above, which suggests the presence of other influences. The significant anomaly is a marked male gender bias in clinical expression of the disease.

CHROMOSOMAL ABNORMALITIES

When mitosis is interrupted in metaphase, the chromosomes can be spread on a slide, counted, and photographed. These cytogenetic studies have made possible the classification of chromosomes into seven groups based upon characteristics such as size and the position of the centromere. The study of cytogenetics has also established that some clinical states can be correlated with an abnormal number of chromosomes, most frequently one more (trisomy) or occasionally one less (monosomy) than the normal number of 46. A few of the more common syndromes are summarized briefly below. Since the addition or subtraction of an entire gene is obviously a major genetic abnormality, these syndromes are characterized by many and extensive deformities. Many such abnormal fertilizations result in early abortions and stillbirths.

1. SYNDROMES ASSOCIATED WITH AN ABNORMAL NUMBER OF CHROMOSOMES

Trisomy 13 (Patau's Syndrome)

Anophthalmos, microphthalmos, retinal dysplasia, optic atrophy, coloboma of the uvea, and cataracts are the major eye anomalies; cerebral defects, cleft palate, heart lesions, polydactyly, and hemangiomas are the more severe nonophthalmic changes. Death by age 6 months is the rule.

Trisomy 18 (Edwards' Syndrome)

The main features of this rare syndrome are mental and physical retardation, congenital heart defects, and renal abnormalities. Corneal and lenticular opacities, unilateral ptosis, and optic atrophy have been described.

Trisomy 21 (Down's Syndrome)

Although Down's syndrome is a fairly common and well-known entity, the hereditary pattern was long ill-defined. Waardenburg originally suggested that Down's syndrome was a chromosomal problem in 1932. Cytogenetic studies in 1958 revealed an extra chromosome indistinguishable from chromosome 21. The principal manifestations are small stature, a flattened, round, mongoloid facies, saddle nose, thick lower lip, large tongue, soft, seborrheic skin, smooth hair, obesity, small genitalia, short fingers, a simian fold, congenital heart anomalies, mental retardation, and frequent psychic disturbances. The ocular signs include hyperplasia of the iris, narrow palpebral fissures with Oriental slant, strabismus, epicanthus, cataract, high myopia (33%), keratoconus, and Brushfield (silver-gray) spots on the iris.

The incidence of Down's syndrome is significantly increased in children born to older women, particularly those past age 35.

2. ABNORMALITIES INVOLVING SEX CHROMOSOMES

Turner's syndrome is a monosomy (45 chromosomes). For some reason, the affected female receives only one X chromosome. Clinically, growth retardation, rudimentary ovaries and female genitalia, amenorrhea, pterygium colli, epicanthus, cubitus valgus, and ptosis occur. Of particular ophthalmic interest is the high incidence of color blindness (8%). This is the same frequency as for males (the female incidence is 0.4%) and is readily explained by the fact that the normally recessive gene is unopposed and is expressed just as in the male.

Klinefelter's syndrome is a trisomy involving the X chromosomes. These phenotypical males have 47 chromosomes: the normal 44 autosomes and three sex chromosomes, XXY. These individuals are sterile, with small testes, a eunuchoid physique, and frequently gynecomastia. The ocular finding of interest is the very rare occurrence of color blindness, since the recessive X chromosome is masked by a normal dominant (as in the normal female).

OTHER GENETIC CONSIDERATIONS

Genetic Counseling

Valuable advice can often be given to families concerned with the percentage risk of transmitting serious disease to future generations. This entails a working knowledge of basic genetic principles and sensitive counseling skills. A careful history of the pedigree in question is very important, since a single disease may have more than one mode of transmission (eg, retinitis pigmentosa has three or more basic patterns, and within each of these there is a wide variation in severity of disease between families). On the other hand, careful inquiries about maternal health during pregnancy may suggest that the anomaly-eg, congenital cataracts-is developmental and therefore unrelated to the genes.

Consanguineous mating increases the prevalence of autosomal recessive traits, and the most likely explanation for two individuals' having the same recessive gene is the fact that they are related.

Prenatal Diagnosis

In some cases it is possible to offer families at risk for a specific hereditary disease the option of prenatal diagnosis. This may involve searching for chromosomal abnormalities or specific structural protein defects such as enzyme deficiencies. Currently, techniques are being devised to identify abnormalities at the gene level using DNA linkage studies (eg, in X-linked retinitis pigmentosa) or DNA probes. Prenatal diagnosis by testing amniotic fluid cells obtained by amniocentesis at 14-16 gestational weeks has become a safe and practical procedure. The list of hereditary diseases that can be diagnosed with this method is rapidly increasing. There is, however, a 3-week delay before results of cytogenetic analysis become available. Chorionic villus sampling has certain advantages: It can be undertaken at 8-12 gestational weeks, and results are known within 24 hours. Its overall safety is still being determined.

Genetic Carrier State

Recognition of the genetic carrier state makes possible more accurate prediction of possible disease transmission and helps to establish the genetic nature of a disease by providing an occasion for examination of relatives of affected individuals. Detection is possible in many diseases. There are three types:

  1. Autosomal dominant diseases in which the disease appears in a mild or subclinical form (low expression). Because the offspring of such individuals still have the theoretic 50% chance of passing on the disease process, the recognition of this carrier state is important in genetic counseling.

  2. Autosomal recessive diseases with heterozygous manifestations. Affected genes that are normally balanced by a normal allele may cause minor subclinical abnormalities that disclose the presence of the abnormal gene. One can predict the 25% possibility of occurrence of some autosomal recessive diseases if the carrier state can be recognized in both potential mates.

  3. Female carrier in X-linked recessive disease. Subclinical evidence of the disease in daughters of affected fathers differentiates carriers from noncarriers in a number of X-linked recessive diseases (often quite obvious in tapetoretinal degenerative conditions).

Mutation

Mutation occurs when a gene undergoes alteration in the germ cell as a result of spontaneous chemical change within the gene and the change is manifested by a new characteristic. The causes of the change are not well understood, but such extrinsic environmental factors as heat, x-rays, and exposure to radioactive materials may induce it. Most often, the new characteristic is unfavorable (ie, disease-producing), but some mutations are favorable and account for the evolution of species (Darwin).

Certain mutations occur repeatedly in specific genes and cause specific disease. Hemophilia, which follows an X-linked pattern, and retinoblastoma, in which a single locus on chromosome 13 is involved, are examples of disease occurring as a result of mutation. Very few individuals with severe abnormalities reproduce, so that the incidence of such diseases is dependent very highly upon mutation. Mutations causing less severe diseases are inherited as dominant, recessive, or X-linked traits depending upon the type of mutated gene. Research into the genetics of retinitis pigmentosa has demonstrated that clinically identical patterns of disease may be caused by many different mutations.

Retinoblastoma

Recent advances in our understanding of the genetic basis of retinoblastoma illustrate many of the points discussed above. Retinoblastoma is a malignant tumor of retinal photoreceptors seen in childhood. Most cases are sporadic, without transmission to subsequent generations, but a significant proportion are familial. The "two-hit" hypothesis of onco-genesis for this and other hereditary cancers proposes that tumor development is a recessive trait at the cellular level and that two separate mutations are necessary to produce the required homozygous state. In retinoblastoma, the relevant mutation is deletion at the chromosomal locus 13q14. In sporadic cases, both mutations occur in the somatic cells of the retina, and for that reason the disease is not genetically transmissible. In familial cases, the first mutation is present in the germ cells, and the second develops in retinal cells.

In familial cases, predisposition for tumor development is inherited as an autosomal dominant trait, being present in 50% of children of retinoblastoma patients. Nine out of ten individuals who inherit the germ cell mutation develop the tumor. Familial cases tend to be bilateral and multifocal and to have onset at an early age, whereas sporadic cases are unilateral, unifocal, and appear later. Individuals who inherit the germ cell mutation are also known to have a greatly increased risk for development of independent second primary tumors-particularly osteosarcoma-in later life.

Present practice consists of regular screening of all siblings and children of retinoblastoma patients for the development of retinoblastoma. This necessitates frequent general anesthesia for ophthalmoscopy. It would be advantageous to be able to restrict the screening procedure to individuals truly at risk, ie, those who have inherited the germ cell mutation.

All bilateral cases and those with a family history can be assumed to be familial; unilateral cases may be familial or sporadic. Cases without a family history may be sporadic or may be the first of a series of familial cases following de novo mutation in the germ line. However, these features are not sufficient to reliably identify only those with the germ line mutation.

Fortunately, the necessary process of gene tracking is now becoming possible both by gene linkage studies, using the esterase-D protein, which has a gene locus close to that of the retinoblastoma gene; and by DNA probes for the esterase-D and retinoblastoma genes. These techniques are also applicable to prenatal diagnosis, using chorionic villus sampling. Consequently, it is theoretically possible to identify exactly which retinoblastoma cases are familial and to determine even before birth which siblings or children also possess the germ cell mutation, thus allowing termination of the pregnancy or a much more specific childhood screening program.

 
Page 1 of 4 NEXT  
 
 

10.1036/1535-8860.ch18

Copyright ©2002-2003 The McGraw-Hill Companies. All rights reserved.
Any use is subject to the Terms of Use and Notice. Additional credits and copyright information. For further information about this site contact tech_support@accessmedicine.com.
Last modified: October 17, 2002 .
McGraw-HillEducation
The McGraw-Hill Companies
AccessLange: General Ophthalmology / Printed from AccessLange (accesslange.accessmedicine.com).
 
Copyright ©2002-2003 The McGraw-Hill Companies. All rights reserved.